糧食中粗纖維素的測定
本測定方法適用于商品糧食中粗纖維素的測定。
1.試劑與配制
①乙醇(95%)。
②乙醚。
③石蕊試紙。
④酸洗石棉:先用1.25%堿液洗至中性,再用乙醇和乙醚先后洗三次,待乙醚揮發凈后備用。
⑤硫酸溶液(1.25%):量取相對密度為1.84的濃硫酸3.5mL,置于500mL水中,經標定后,調至準確濃度。
⑥氫氧化鈉溶液(1.25%):稱取7g氫氧化鈉置于500mL水中,經標定后,調至準確濃度。
2.儀器和用具
①粗纖維測定儀。
②古氏坩堝(30mL)(用石棉網鋪墊后,在600℃溫度下灼燒30min)。
③玻璃棉吸濾管(直徑1cm)。
④吸濾瓶。
⑤抽氣泵。
⑥量筒:250mL。
⑦平底燒瓶:500mL。
⑧容量瓶:500mL。
⑨移液管:5mL。
⑩萬用電爐、馬弗爐(或者箱式電阻爐)。
?電熱恒溫箱。
?備有變色硅膠的干燥器。
?冷凝管等。
3.操作步驟
(1)稱取試樣
稱取粉碎試樣2~3g,倒入500mL燒杯中。如試樣中脂肪含量較高時,可用抽提脂肪后的殘渣作試樣,或將試樣的脂肪用乙醚抽提出去。
(2)酸液處理
向裝有試樣的燒杯中加入事先在回流裝置下煮沸的硫酸溶液(1.25%)200mL,外記燒杯中的液面高度,蓋上表面皿,置于電爐上,在1min內煮沸,再繼續慢慢煮沸30min。在煮沸過程中,要加沸水保持液面高度,經常轉動燒杯,到時離開熱源待沉淀下降后,用玻璃棉抽濾管吸去上層清液,吸凈后立即加入100~150mL沸水洗滌沉淀,再吸去清液,用沸水如此洗滌至沉淀,用石蕊試紙試驗呈中性為止。
(3)堿液處理
將抽濾管中的玻璃棉并入沉淀中,加入事先在回流裝置下煮沸的氫氧化鈉溶液(1.25%)200mL,按照酸處理法加熱微沸30min,取下燒杯,使沉淀下降后,趁熱用已恒重的古氏坩堝抽濾,用沸水將沉淀洗至中性,無損失地轉入坩堝中。
(4)乙醇和乙醚處理
沉淀先用熱至50~60℃的乙醇20~30mL,分3~4次洗滌,然后用乙醚20~30mL,分3~4次洗滌,最后抽凈乙醚。
(5)烘干和灼燒
古氏坩堝和沉淀,先在105℃烘至恒重,然后送入600℃馬弗爐(或者箱式電阻爐)中灼燒30min,取出冷卻,稱重,灼燒至恒重為止。
4.結果計算
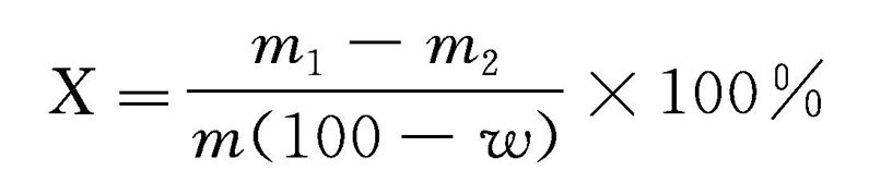
粗纖維素干基含量按式(2-8)計算:
(2-8)
式中 X——粗纖維素干基含量,%;
m1——坩堝及沉淀烘干后的質量,g;
m2——坩堝及沉淀灼燒后的質量,g;
m——試樣質量,g;
w——水分含量,%。
兩次試驗測定結果允差不超過平均值的1%,取其算術平均值作為測定結果,保留到小數點后一位。




